Paper in IEEE Access

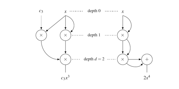
Homomorphic encryption enables computations on encrypted data. However, computations are typically restricted to additions and multiplications. Moreover, the number of consecutive multiplications (along any branch of the computational circuit in the figure) is limited.
In this paper, we present a method that extends the degree of implementable polynomials by one. The key enabler is a leading integer coefficient, allowing one crucial multiplication to be realized through additions. Incorporating this novel integer coefficient into classical regression problems initially leads to mixed-integer programs (MIPs). However, we develop tailored solution schemes that avoid MIP solving. Using these schemes, we compute new polynomial approximations for various test cases and demonstrate the effectiveness of our method compared to existing approaches. Contact Dieter for further details or have a look at the paper:
D. Teichrib, J. Adamek, P. Binfet, and M. Schulze Darup, Polynomial Function Approximations With Leading Integer Coefficients for Efficient Encrypted Implementations, in IEEE Access, vol. 13, pp. 157455-157462, 2025. DOI: 10.1109/ACCESS.2025.3606013